List of Articles
Food Science of Animal Resources. Vol. 43, No. 6, 2023
ARTICLE

Validation, Measurement Uncertainty, and Determination of Bixin and Norbixin in Processed Foods of Animal Resources Distributed in Korea
Food Sci Anim Resour 2023;43(6):949-960.
https://doi.org/10.5851/kosfa.2023.e49
HTML
PDF
PubReader
Cited by 7
https://doi.org/10.5851/kosfa.2023.e49

Effects of Mustard Seed Extract on Physicochemical and Storage Characteristics of Dry-aged Pork Loin Ham
Food Sci Anim Resour 2023;43(6):961-974.
https://doi.org/10.5851/kosfa.2023.e50
HTML
PDF
PubReader
Cited by 3
https://doi.org/10.5851/kosfa.2023.e50

Comparison of the Fatty Acid Composition and Small Molecular Metabolites between Yanjin Blackbone Chicken and Piao Chicken Meat
Food Sci Anim Resour 2023;43(6):975-988.
https://doi.org/10.5851/kosfa.2023.e53
HTML
PDF
PubReader
Cited by 2
https://doi.org/10.5851/kosfa.2023.e53

A Highly Sensitive Indirect Enzyme-Linked Immunosorbent Assay (ELISA) Based on a Monoclonal Antibody Specific to Thermal Stable-Soluble Protein in Pork Fat for the Rapid Detection of Pork Fat Adulterated in Heat-Processed Beef Meatballs
Food Sci Anim Resour 2023;43(6):989-1001.
https://doi.org/10.5851/kosfa.2023.e55
HTML
PDF
PubReader
Cited by 1
https://doi.org/10.5851/kosfa.2023.e55

Comparative Evaluation of Egg Quality in Response to Temperature Variability: From Farm to Table Exposure Scenarios
Food Sci Anim Resour 2023;43(6):1002-1016.
https://doi.org/10.5851/kosfa.2023.e62
HTML
PDF
PubReader
Cited by 1
https://doi.org/10.5851/kosfa.2023.e62

The Comparison of Commercial Serum-Free Media for Hanwoo Satellite Cell Proliferation and the Role of Fibroblast Growth Factor 2
Food Sci Anim Resour 2023;43(6):1017-1030.
https://doi.org/10.5851/kosfa.2023.e68
HTML
PDF
PubReader
Cited by 12
https://doi.org/10.5851/kosfa.2023.e68

Evaluation of Gelation Properties of Salt-Soluble Proteins Extracted from Protaetia brevitarsis Larvae and Tenebrio molitor Larvae and Application to Pork Myofibrillar Protein Gel System
Food Sci Anim Resour 2023;43(6):1031-1043.
https://doi.org/10.5851/kosfa.2023.e69
HTML
PDF
PubReader
Cited by 2
https://doi.org/10.5851/kosfa.2023.e69
SHORT COMMUNICATION

Protective Effects of Lacticaseibacillus rhamnosus IDCC3201 on Motor Functions and Anxiety Levels in a Chronic Stress Mouse Model
Food Sci Anim Resour 2023;43(6):1044-1054.
https://doi.org/10.5851/kosfa.2023.e54
HTML
PDF
PubReader
Cited by 6
https://doi.org/10.5851/kosfa.2023.e54
SPECIAL SECTION REVIEW

Checkmeat: A Review on the Applicability of Conventional Meat Authentication Techniques to Cultured Meat
Food Sci Anim Resour 2023;43(6):1055-1066.
https://doi.org/10.5851/kosfa.2023.e48
HTML
PDF
PubReader
Cited by 8
https://doi.org/10.5851/kosfa.2023.e48

Multi-Omics Approaches to Improve Meat Quality and Taste Characteristics
Food Sci Anim Resour 2023;43(6):1067-1086.
https://doi.org/10.5851/kosfa.2023.e63
HTML
PDF
PubReader
Cited by 9
https://doi.org/10.5851/kosfa.2023.e63

Innovative Application of Cold Plasma Technology in Meat and Its Products
Food Sci Anim Resour 2023;43(6):1087-1110.
https://doi.org/10.5851/kosfa.2023.e31
HTML
PDF
PubReader
Cited by 18
https://doi.org/10.5851/kosfa.2023.e31

Use of Postbiotic as Growth Promoter in Poultry Industry: A Review of Current Knowledge and Future Prospects
Food Sci Anim Resour 2023;43(6):1111-1127.
https://doi.org/10.5851/kosfa.2023.e52
HTML
PDF
PubReader
Cited by 26
https://doi.org/10.5851/kosfa.2023.e52
SPECIAL SECTION ARTICLE

Development of Plastic/Gelatin Bilayer Active Packaging Film with Antibacterial and Water-Absorbing Functions for Lamb Preservation
Food Sci Anim Resour 2023;43(6):1128-1149.
https://doi.org/10.5851/kosfa.2023.e32
HTML
PDF
PubReader
Cited by 2
https://doi.org/10.5851/kosfa.2023.e32

Proximate Content Monitoring of Black Soldier Fly Larval (Hermetia illucens ) Dry Matter for Feed Material using Short-Wave Infrared Hyperspectral Imaging
Food Sci Anim Resour 2023;43(6):1150-1169.
https://doi.org/10.5851/kosfa.2023.e33
HTML
PDF
PubReader
Cited by 14
https://doi.org/10.5851/kosfa.2023.e33

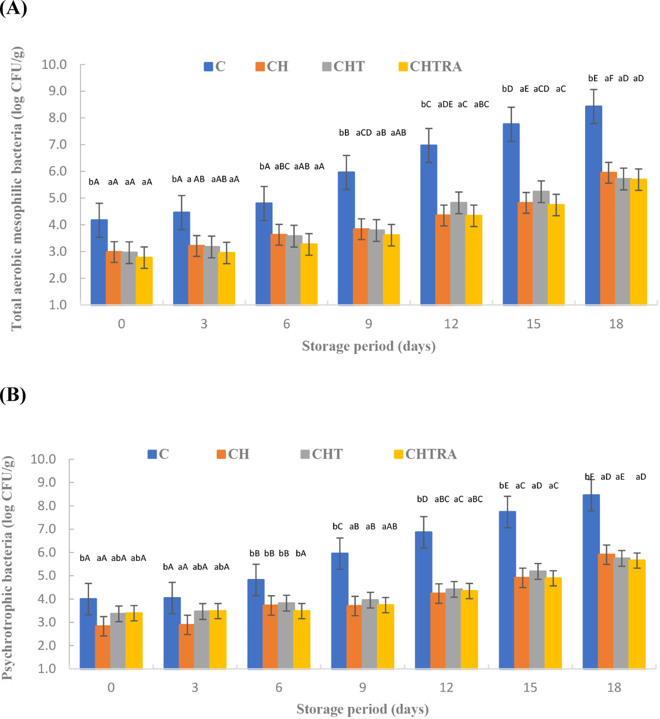
The Effect of a Chitosan/TiO2-Nanoparticle/ Rosmarinic Acid-Based Nanocomposite Coating on the Preservation of Refrigerated Rainbow Trout Fillets (Oncorhynchus mykiss )
Food Sci Anim Resour 2023;43(6):1170-1182.
https://doi.org/10.5851/kosfa.2023.e47
HTML
PDF
PubReader
Cited by 3
https://doi.org/10.5851/kosfa.2023.e47