Fat content and beef palatability
The contribution of fat content of meat to overall meat palatability has been established for decades. Savell and Cross (1988) established a Window of Acceptability for beef (Fig. 1), indicating that overall palatability of beef is optimal between 3 and 7.5% intramuscular lipid. Increasing intramuscular lipid above 7% further increases overall palatability, but attaining this level of intramuscular lipid is difficult in most beef breed types. Muscle devoid of marbling contains approximately 1% intramuscular lipid, so that any increase in intramuscular fat above 1% is associated with differentiation and lipid filling of intramuscular adipocytes.

The relationship between percent fat and overall palatability underscores the importance of intramuscular lipid in beef quality. What is not addressed in these data is that, as percent fat increases, there is a dramatic change in the extent of intramuscular preadipocyte differentiation and concomitant changes in fatty acid composition of intracellular lipid. As described below, an increase in fat percentage is invariably accompanied by a decrease in the proportion of saturated fatty acids (SFA) and a corresponding increase in oleic acid (18:1n-9) and other monounsaturated fatty acids (MUFA). This has a direct effect on the palatability and healthfulness of beef.
Why does highly marbled beef taste better?
Fatty acids and flavor. Monounsaturated fatty acids in meat have been shown to influence beef palatability (Dryden and Marchello, 1970; Westerling and Hedrick, 1979). These early studies demonstrated that the more oleic acid in beef, the greater the overall palatability of the beef. Some portion of the effect of oleic acid on increasing palatability of beef may be due to the fat softness associated with this fatty acid (Perry et al., 1998; Smith et al., 1998). This provides a more fluid mouthfeel, which most perceive as more desirable.
We conducted a consumer triangle test between Angus and Wagyu beef from the cattle that had been fed to the Japanese endpoint (650 kg body weight) (May et al., 1993). Out of 180 responses, 98 indicated a difference between the Wagyu and Angus beef. This means that, at a 99.5% confidence interval, 47.5% of consumers would be able to distinguish between Wagyu and Angus beef (Fig. 2), even when both were fed to the Japanese end-point. The consumer panel indicated that the degree of difference was primarily “slight” to “moderate”.

The major qualitative traits used to describe differences in eating quality were tenderness, juiciness, and flavor (Fig. 3). When the consumers were asked to indicate which traits they used to determine the difference between Wagyu and Angus samples, the majority of the respondents used a combination of tenderness and juiciness, while other consumers indicated the singular traits of flavor and tenderness. Certainly, juiciness and flavor differences are largely due to differences in fatty acid composition between Wagyu and Angus beef.

The enormous capacity of Wagyu cattle to accumulate marbling is based on their unique distribution of marbling adipocytes within their muscles (Fig. 4). Whereas marbling adipocytes are rarely observed in microscopic images of muscle from North American breed types, it is virtually impossible to obtain a field devoid of adipocytes in sections of ribeye muscle from Japanese Black cattle. Wagyu marbling adipocytes cluster in large group, much like bunches of grapes, whereas marbling adipocytes are arranged like strings of pearls in other breed types.

Fatty acid composition and fat firmness
Fat firmness is another important characteristic of the Japanese beef grading system (JMGA, 1988), and reflects the fatty acid composition of the adipose tissue. The most abundant fatty acid in beef is oleic acid (St. John et al., 1991). The saturated fatty acids, palmitic (16:0) and stearic (18:0) contribute substantially to the overall fatty acid composition of beef and beef fat, and both can increase the hardness of fat (Smith et al., 1998). Linoleic acid (18: 2n-6) and a-linolenic acid (18:3n-3) contribute very little to total beef fatty acid composition, even in grass-fed cattle. Grass feeding increases the concentration of stearic acid in beef, and stearic acid has a profound effect on adipose tissue lipid melting points (Fig. 5).

Stearic acid has a melting point around 70℃, whereas MUFA have melting points below room temperature (around 20℃). Linoleic acid (a polyunsaturated fatty acid that is common in corn oil) has a very low melting point, −20℃, but there is very little linoleic acid in beef. We have demonstrated that the concentration of stearic acid has the greatest effect on lipid melting points from adipose tissues from beef carcasses (Turk and Smith, 2009) (Fig. 5).
Monounsaturated fatty acids have low melting points because of their chemical structure, which contains a single double bond located approximately in the middle of the molecule (Fig. 6). The double bond causes a kink in the molecule, and this hinders the formation of the crystalline structure of solidified fat. Therefore, the more double bonds present in a fat, the lower the melting point.

This is the best demonstrated in comparisons across species or dietary treatments (Fig. 7). The melting point of lipids from pigs fed standard finishing diets is approximately 30℃, but is less than 25℃ in pigs fed canola oil (which is rich in oleic acid). Feeding canola oil increases oleic acid by about 25% in pig backfat, and this reduces the melting point of the fat. Sheep fat contains over 30% stearic acid and only about 30% oleic acid, and for this reason has a melting point of approximately 40℃.

Cattle fed a standard, corn-based finishing diet in the U.S. produce backfat and marbling fat that have consistently low melting points. The situation is different in Australia, where grains such as barley or wheat are fed in place of corn. When these grains are fed in combination with whole cottonseed or rumen-protected cottonseed oil, the melting point of the fat can exceed 45℃. This fat is very hard because it is very high in SFA. When Australian cattle are fed a corn-based diet, the melting point of the fat is reasonably low, and resembles the backfat of feedlot cattle produced in the U.S. Lipids extracted from the fat of Japanese Black cattle or Murray Grey cattle raised in Japan have melting points as low as 24℃ (Fig. 7), which is very soft because of its high oleic acid. Fat from Japanese Black cattle has the lowest melting point, indicating that genetics as well as production contribute to the production of oleic acid in beef.
Fat depots of cattle fed grain-based finishing diets typically display a general decrease with age in SFA and a concomitant increase in MUFA (Huerta-Leidenz et al., 1996; Mitsuhashi et al., 1988a; Mitsuhashi et al., 1988b). Thus, unlike the situation observed in Australian cattle, fat in U.S. cattle becomes softer the longer the cattle are on feed. Cattle in Japan, Korea and, more recently, China, are fed for unusually long periods of time before slaughter (around 19 mon past weaning), and this may contribute to the high oleic acid seen in Japanese Black cattle (Tanaka, 1985).
The total oleic acid in a serving of beef from Japanese Black cattle raised in Japan (producing A5 beef carcasses) is over 16 grams oleic acid per 100 grams of beef (calculated from Smith et al., 1998; Sturdivant et al., 1992; Fig. 8). The greatest amount of oleic acid is in beef from Japanese Black cattle that have achieved the highest carcass quality (A5), suggesting a genetic relationship between fatty acid composition and marbling.

This was confirmed by a study conducted at Texas A&M University, in which Wagyu and Angus steers were fed high-roughage diets for 550 d. The steers weighed about 1,400 pounds at slaughter, but longissimus muscle from the Wagyu steers had more oleic acid than muscle from the Angus steers (Lunt et al., 1993; May et al., 1993). Both long-fed groups of steers had more oleic acid greater than typical Angus steers slaughtered at 18 mon of age, but their content of oleic acid was far below that beef from Japanese A5 cattle (Fig. 8).
There is very little information available to calculate the oleic content of Hanwoo cattle. Jung and Choi (2003) reported that the subcutaneous adipose tissue of Hanwoo steers contained 47% oleic acid (as a percentage of total fatty acids). We calculated total longissimus muscle oleic acid from Kim et al. (2015). The longissimus muscle contained 11% total extractable lipid and 48% of the lipid was oleic acid, yielding approximately 5.5 grams of oleic acid per 100 grams of muscle (Fig. 8). This amount of oleic acid was similar to that seen in muscle of Angus steers fed a corn-based finishing diet to 18 mon of age and Akaushi steers fed a corn-based diet to 24 mon of age.
Also indicated in Fig. 8 are data from two sets of cattle fed only pasture. Angus steers fed native Texas pasture to USDA Choice quality grade contained less than 2 grams of oleic acid per 100 grams of beef, as compared to the corn-fed Angus steers, which contained over 6 grams of oleic acid per 100 grams of beef. Beef from Akaushi (American Red Wagyu) cattle also contained approximately 5 grams of oleic acid per 100 grams of beef. The least amount of oleic acid in beef was observed in Texas Longhorn steers (1.8 grams of oleic acid) (Fig. 8), but these cattle graded only USDA Select. These results confirm our previous studies (e.g., Brooks et al., 2011; Gilmore et al., 2011) that have demonstrated that feeding pasture-based diets to Angus steers strongly depresses the amount of oleic acid in beef.
Fatty acids and cardiovascular disease
Consumers in Japan and Korea now are expressing concern that Wagyu and Hanwoo beef now contains too much fat, which may lead to increased risk for cardiovascular disease. Cardiovascular disease is the leading cause of death in the U.S., and risk factors include plasma concentrations of total cholesterol and LDL-cholesterol. Reports linking dietary fat to serum lipid levels have often been interpreted to mean that the general public, especially those at risk for cardiovascular disease, should consume diets containing little or no red meat. Researchers previously concluded that dietary SFA such as palmitic acid elevate serum cholesterol concentrations, whereas PUFA such as linoleic acid reduce serum cholesterol concentrations and MUFA have little or no effect (Keys et al., 1965). The major MUFA in beef, oleic acid, has been studied in more detail and found to lower LDL-cholesterol and may increase the beneficial HDL-cholesterol (Grundy et al., 1988; Kris-Etherton et al., 1999). By lowering LDL-cholesterol and increasing HDL-cholesterol, MUFA, and especially oleic acid, are heart-healthy options for dietary fat. This effect is most convincing in studies in which natural foods were used to supplement diets with oleic acid, such as beef (Adams et al., 2010; Gilmore et al., 2011; Gilmore et al., 2013). Perhaps because of the prevalence of oleic acid, some beef products have been shown to decrease or have no effect on serum cholesterol in free-living individuals (Smith et al., 2002).
Current U.S. dietary guidelines recommend consuming less that 10% of total calories as saturated fats (Dietary Guidelines, 2015), in addition to limiting the intake of trans-fats. Ten percent of calories for a 2,000 kcal daily intake (typical for U.S. women) would be 200 kcal, or 22 grams of total saturated fat. Based on current data for U.S. ground beef, this is approximately twice as much saturated fat in a 4-ounce (114 gram) ground beef patty containing 24% total fat (Gilmore et al., 2011). This amount of saturated fat is nearly four times the amount in 100 grams of Hanwoo beef (Kim et al., 2015). Thus, the consumption of beef, even highly marbled beef, contributes very little to total saturated fat intake. Also, although dietary SFA increase LDL cholesterol in some individuals, there is no strong evidence indicating that the small increase in LDL concentrations observed in some studies leads to an increase in mortality.
Based on data from four independent studies from our laboratory, consumers directly replace fat calories with calories from carbohydrates (Fig. 9). However, replacing total fat or saturated fat with carbohydrates is not associated with reduced risk of cardiovascular disease (Dietary Guidelines, 2015), and may have contributed to the increase in obesity observed in the U.S. over the last 50 years (see Teicholz, 2014 for review).

Fatty acid composition of beef and risk factors for cardiovascular disease
In recent years we demonstrated that high-oleic acid ground beef may reduce risk factors for cardiovascular disease (Adams et al., 2010; Gilmore et al., 2011; Gilmore et al., 2013). In our first study mildly hypercholesterolemic men consumed ground beef that was especially high in fat (34% total fat) (5 patties per week for 5 wk) (Adams et al., 2010). The ground beef interventions either were high in SFA and trans-fatty acids (low MUFA) or high in MUFA and correspondingly low in SFA and trans-fatty acids (high MUFA). The high MUFA ground beef was formulated from fat trim from American Wagyu cattle, whereas the low MUFA ground beef was formulated from grass-fed cattle. The low MUFA ground beef reduced HDL cholesterol concentrations and LDL particle size (an independent risk factor for cardiovascular disease), and increased plasma triacylglycerols (Adams et al., 2010) (Fig. 10), effects that were not seen with the high MUFA ground beef that incorporated high oleic acid Wagyu fat trim. We conclude that some portion of the population is sensitive to very high levels of dietary fat, especially if it contains high concentrations of SFA and trans-fatty acids.

When normocholesterolemic men consumed high MUFA ground beef (24% total fat; 5 patties per week for 5 wk) formulated from long-fed, grain-fed steers, HDL-cholesterol increased (Fig. 10) (Gilmore et al., 2011). Furthermore, ground beef from the long-fed, grain-fed cattle did not reduce LDL particle diameters. Therefore, increasing oleic acid potentially increases the healthfulness of beef. We also measured additional risk factors for cardiovascular disease, metabolic syndrome, and type II diabetes (Gilmore et al., 2011). There was no effect of the ground beef interventions on plasma triacylglycerols, total cholesterol, or LDL cholesterol concentrations. The ground beef interventions had no effect on LDL particle diameters, but both ground beef interventions decreased HDL2 and HDL3 particle diameters (Table 1). Both types of ground beef reduced serum insulin, thereby reducing risk for type II diabetes. Neither ground beef type increased hs-CRP, an important inflammatory marker associated with dysfunctional HDL particles. Thus, neither the high MUFA nor the low MUFA ground beef interventions of Gilmore et al. (2011) had negative effects on measures of metabolic disease in men.
1Data are means±SE for 54 baseline values, 27 final values for each ground beef type, and 54 final values for the combined ground beef types. *Different from control, p<0.05.
2Total plasma fatty acid concentrations were 452 (baseline), 481 (low MUFA) and 474 μmol/L (high MUFA); concentrations were not different, p=0.15.
3Sum of 18:1(trans-9) plus 18:1(trans-11). (Gilmore et al., 2011).
In postmenopausal women, ground beef from Akaushi cattle (21% total fat, naturally enriched with oleic acid) increased total HDL cholesterol concentrations and also increased beneficial HDL2b cholesterol concentrations (Gilmore et al., 2013). These effects were not observed in women who consumed conventional ground beef, which contained more SFA and trans-fatty acids. In none of these studies did the ground beef interventions increase body weight, percentage body fat, or LDL cholesterol.
For these reasons, beef cattle should be produced in such a manner as to increase oleic acid and concomitantly decrease saturated fatty acids in beef. Current production systems in Korea and Japan, and to some extent in the U.S., that incorporate a grain-based, finishing ration strongly promote the enrichment of beef with oleic acid.
Total fat and oleic acid intake
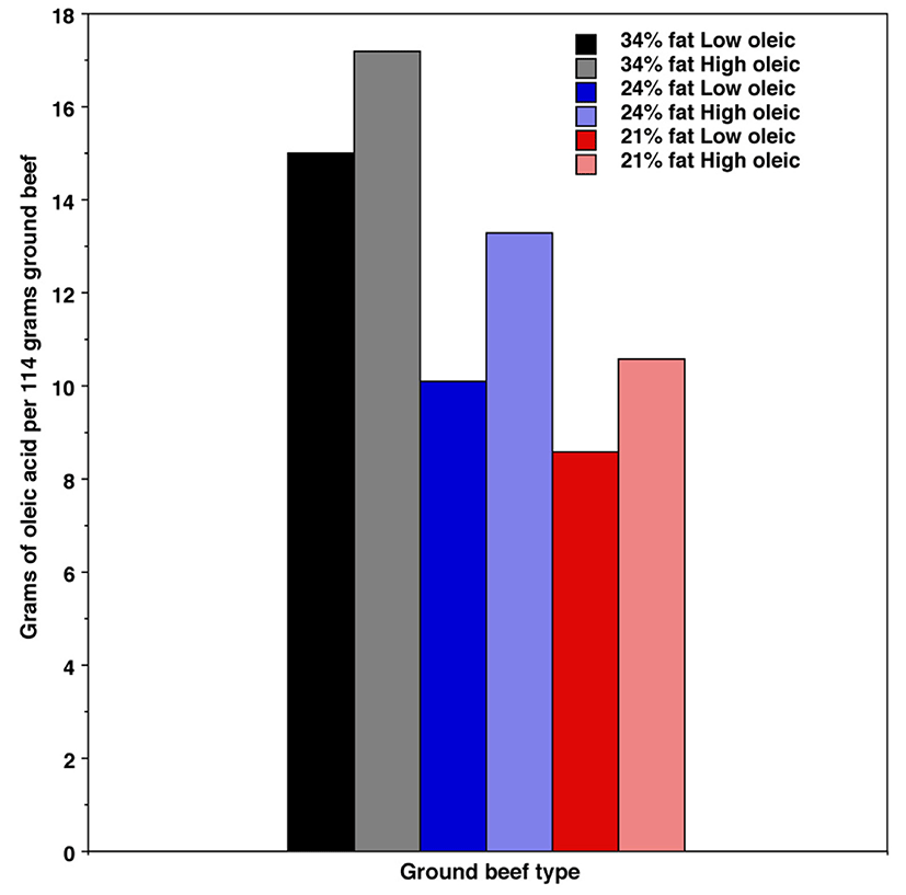
How do total fat and oleic acid intakes from highly marbled beef compare to fat and oleic acid intake from ground beef? In the studies of Adams et al. (2010), Gilmore et al. (2011), and Gilmore et al. (2013), participants consumed 114-gram, ground beef patties containing 34, 24, and 21% total fat, respectively. Thus, during each study, participants consumed 39, 27, and 24 grams per patty, 5 patties per week for 5 wk. This is an extraordinary consumption of beef fat, yet only for hypercholesterolemic men consuming the highest level of total fat, SFA, and trans-fatty acids (Adams et al., 2010) were any negative effects of the ground beef interventions observed.
In all studies, the high MUFA ground beef interventions either had no effect (Adams et al., 2010) or reduced risk factors for cardiovascular disease and type II diabetes (Gilmore et al., 2011, 2013). In each of the dietary intervention studies, participants consuming the high MUFA ground beef consumed 2 grams per patty more oleic acid than participants consuming the low MUFA patties (Fig. 11). The amount of oleic acid in the 34% ground beef patty was similar to the amount of total fat and oleic acid in 100 grams of beef from Japanese Black and American Wagyu steers (Fig. 8). The amount of oleic acid in the 21% fat ground beef was nearly twice the amount of oleic acid in Hanwoo beef. Because we have demonstrated that high oleic acid beef can increase HDL cholesterol in men and women, then any production practice that increases oleic acid (such as grain feeding for extended periods) will increase the healthfulness of beef.

Summary
Increasing the amount of oleic acid in beef improves palatability, primarily by lowering the melting points of lipids in beef. Human trials also have indicated that even beef high in total fat does not increase LDL cholesterol or obesity. Finally, ground beef high in oleic acid consistently increases (or does not decrease) HDL cholesterol.